Data Dosen Stikes Adila





Penyerahan Mahasiswa Pkmd Akbid Adila Bandar Lampung

Penyerahan Mahasiswa Pkmd Akbid Adila Bandar Lampung

Index Of Wp Content Uploads 2018 07

Index Of Wp Content Uploads 2018 07

Kunjungan Pimpinan Akademi Adila Di Stikes Harapan Bangsa Purwokerto

Kunjungan Pimpinan Akademi Adila Di Stikes Harapan Bangsa Purwokerto

Mahasiswa Akademi Kebidanan Adila Wajib Tinggal Di Asrama

Mahasiswa Akademi Kebidanan Adila Wajib Tinggal Di Asrama

Profil Akademi Kebidanan Adila Bandar Lampung September 2016

Profil Akademi Kebidanan Adila Bandar Lampung September 2016

Penyerahan Mahasiswa Pkmd Akbid Adila Bandar Lampung

Penyerahan Mahasiswa Pkmd Akbid Adila Bandar Lampung

Penyerahan Mahasiswa Pkmd Akbid Adila Bandar Lampung

Informasi penerimaan mahasiswa baru tahun ajaran 2020 2021.

Data dosen stikes adila. Nomor registrasi nama dosen jabatan akademik pendidikan program studi. Saat ini akademi kebidanan adila belum terakreditasi oleh ban pt. Adapun total jumlah mahasiswa saat ini sekitar 445 dengan total jumlah dosen sebanyak 8. Peningkatan layanan pendidikan kepada mahasiswa orangtua dan masyarakat pada umumnya semakin meningkat.

Data dosen stikes widya cipta husada no nama dosen jabatan prodi tmt 1. Stikes bhakti mulia tandatangani kerjasama dengan mahsa dan segi university malaysia. Majestika septikasari perempuan perguruan tinggi stikes al irsyad al islamiyyah cilacap program studi kebidanan d 3 jabatan fungsional tenaga pengajar. Khataman al qur an dosen dan karyawan stikes bhakti mulia pare.

Link pendaftaran online stikes bhakti mulia pare tahun ajaran 2020 2021. Persyaratan bagi calon peserta untuk dapat diterima sebagai mahasiswa wni berjenis kelamin wanita lulus sma smu smk ma atau sederajat berbadan sehat tidak buta warna tidak tuna fisik dan tidak ada gangguan pendengaran yang dapat menggagnggu proses belajar mengajar tinggi 150 cm. Ilmu keperawatan s1 0822017001. Prodi s1 ilmu keperawatan dec 16 2.

Setiap tahunnya kampus ini selalu ramai dipadati calon mahasiswa baru. Anak agung sagung bintang s2. Lilis sulistya ningrum s kep m ked trop dosen prodi s1 ilmu keperawatan ka. I gede nyoman ardi supartha s2.

Prodi diii kebidanan stikes advaita medika tabanan laksanakan ujian antenatal care anc data dosen. Indonesia 12 lisa anita sari jambi s kep ns s1 stikes hi jambi keperawatan umum20 12 1989 s2 kesetsart university thailand 13 miftahul jannah jambi s kep ns s1 stikes hi jambi keperawatan umum ns miftahul jannah yahoo co id 15 05 1988 14 lia puji astuti sragen s kep ns s1 stikes hi jambi keperawatan umum lovelhea ymail co m 30 06 1987 15 yuli astuti oku s kep ns s1. Selamat datang di website stikes karya husada sistem informasi akademik online stikes karya husada semarang kami menyambut baik terbitnya website stikes karya husada semarang yang baru dengan harapan dipublikasinya website ini kampus berharap. Sebagai informasi umum akademi kebidanan adila berdiri pada tanggal 24 march 2006 dengan nomor sk 133d02006.

Mohammad hasan no 110 batoh banda aceh hp. Pddikti adalah pangkalan data pendidikan tinggi dimana semua informasi dan statistik tentang perguruan tinggi di indonesia di sajikan secara real time dan akurat. Prodil ilmu keperawatan jan 17 3.

Srv4 Pddikti Pangkalan Data Pendidikan Tinggi

Srv4 Pddikti Pangkalan Data Pendidikan Tinggi

Seminar Nasional Lingart 2015 Seminario Mayor San Muiguel

Seminar Nasional Lingart 2015 Seminario Mayor San Muiguel

Kunjungan Study Akbid Adila Di Fakultas Kesehatan Udinus Semarang

Kunjungan Study Akbid Adila Di Fakultas Kesehatan Udinus Semarang

Kunjungan Pimpinan Akademi Adila Di Poltekkes Permata Indonesia

Kunjungan Pimpinan Akademi Adila Di Poltekkes Permata Indonesia

Srv4 Pddikti Pangkalan Data Pendidikan Tinggi

Srv4 Pddikti Pangkalan Data Pendidikan Tinggi

Srv4 Pddikti Pangkalan Data Pendidikan Tinggi

Srv4 Pddikti Pangkalan Data Pendidikan Tinggi

Faktor Faktor Yang Berhubungan Dengan Kunjungan Antenatal Care

Faktor Faktor Yang Berhubungan Dengan Kunjungan Antenatal Care

Srv4 Pddikti Pangkalan Data Pendidikan Tinggi

Srv4 Pddikti Pangkalan Data Pendidikan Tinggi

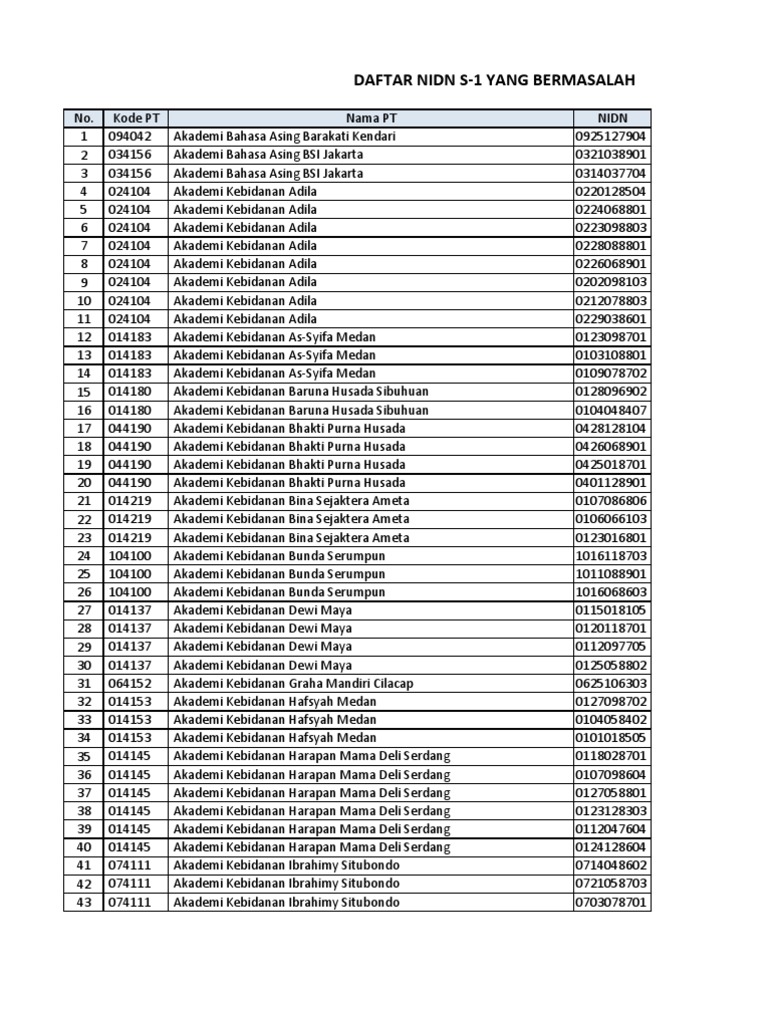
Nidn Salah

Nidn Salah

Ikke Pdf

Ikke Pdf

Sekolah Tinggi Ilmu Kesehatan Adila Bandar Lampung

Sekolah Tinggi Ilmu Kesehatan Adila Bandar Lampung

Index Of Wp Content Uploads 2018 07

Index Of Wp Content Uploads 2018 07

Analisis Faktor Resiko Terjadinya Kanker Servik Di Rsud Dr H Abdul

Analisis Faktor Resiko Terjadinya Kanker Servik Di Rsud Dr H Abdul

Daftar Kode Dan Nama Perguruan Tinggi Asal

Daftar Kode Dan Nama Perguruan Tinggi Asal

Source : pinterest.com